Martin J. Flanagan
World War I

Compiled by Michael E. Byczek
Illinois Attorney and Great-Grandson



37-page PDF Compiled Documentary

Veteran's Index Card [Source]

World War I Draft Card: High Quality, Low Quality
World War II Draft Card: Page 1, Page 2

The 23rd Engineers Regimental Roster listed Martin Flanagan's address as 3525 S. Paulina in Chicago, which was his mother's home at the time of his initial enlistment. Michael E. Byczek has a copy in his personal collection: Cover, Back, Entry

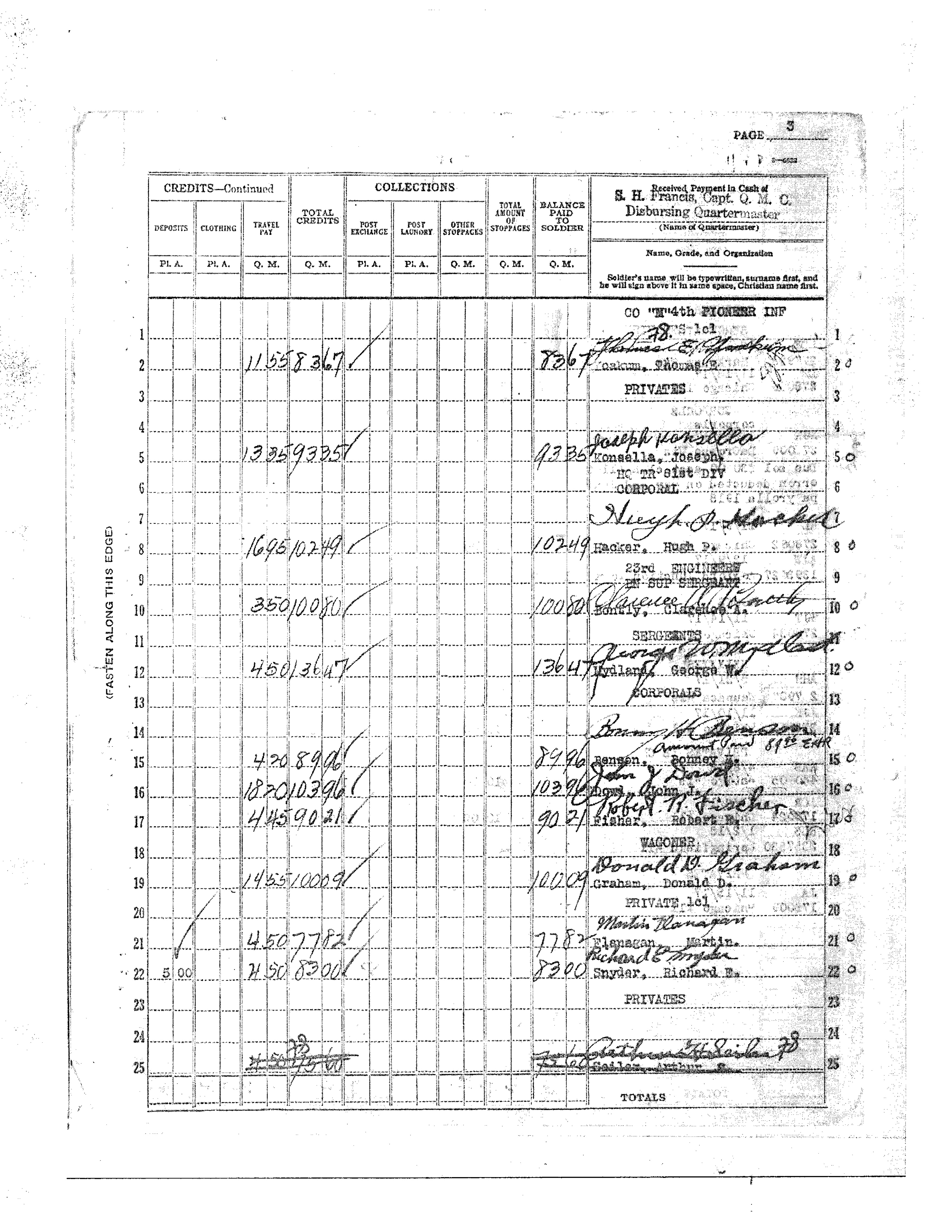
Final Payment Roll

Martin Flanagan was discharged at Camp Grant (Rockford, IL) on 6/20/1919. The ship arrived at Hoboken, NJ on 6/4/1919. It appears that Martin was part of a segment of the 23rd Engineers that were demobilized at Camp Mills, NY on 6/19/1919. When Martin Flanagan was discharged at Camp Grant, he was listed as part of a demobilization unit.

Martin received $77.82 cash in hand as final pay.

Cover Sleeve and Explanation
Page 1
Page 2

Letter from National Archives - Followup request in 2022 from about 2005 for specific information based upon a fire that destroyed most personnel records.

Wagon Company 1 - Chronology

The following locations as a collective show Martin Flanagan's timeline in France. The logbooks are often written with phonetic spelling. Not all towns have been identified on a present-day map.

It appears that Wagon Company 1 stayed within the Meuse and Meurthe-et-Moselle "Departments".

All the known locations are near St. Mihiel and Nancy.

All the identified towns are in the same general area. It is presumed that the others that have not been found are nearby. Some towns are speculation based on similarity in phonetic spelling and close proximity.

The only location outside this area was Aix-les-Bains where Martin Flanagan was on leave.

Some pages from the logbooks are unreadable due to LQ scans and faded ink.

Morning Reports

1/12/1918 - Martin Flanagan assigned to company from detached 23rd Engineers at Camp Meade. Earlier that same day, company moved from Camp Meade to Camp Laurel

1/20/1918 - Wagon Co #1 consisted of 102 enlisted men and 1 captain. Left station with 1st Batt 23rd Engineers (Companies A, B, and C with Truck #1 and #2). Appears also had a detached Wagon Company #2 with 18 enlisted without officers.

1/21/1918 - Arrived at Jersey City, NJ. Boarded ship Huron in Hoboken, NJ.

1/24/1918 - Ship left Hoboken.

2/6/1918 - Arrived at Brest, France

2/7/1918 - Left ship Huron.

2/8/1918 - Boarded train. Arrived at Saint Nazoire.

2/9/1918 - Marched to American base (3 miles)

2/13/1918 - "Moved Camp"

2/21/1918 - Left Camp and marched to Saint Nazoire (possibly to board train)

2/23/1918 - "Laying at Toule" ?

2/24/1918 - Marched to Menil La Tour (?). Company divided. Smaller group (possibly 31 pvts) marched to Gerard Sas. Remainder marched to Burkey (Camp Burly?)

4/6/1918 - Moved camp from Camp Burly to Minilalauer (?)

5/5/1918 - Martin Flanagan (and others) placed on special duty to construct new camp at Rangeval

5/14/1918 - Moved camp from Minilateur (?) to Rangeval. Another entry shows moved camp from Ouebec to Rangeval. Those on special duty restored to regular duty.

9/13/1918 - Martin Flanagan (and others) on special duty with Company C 23rd Engineers. Returned to regular duty with strange notation. Entered on 9/15 with comment "Sept 14/18".

9/19/1918 - Moved camp from Flirey (?) to Arrecourt (Bernecourt?) via Camp La Reine

10/1/1918 - Moved camp from La Reine to Flirey.

10/16/1918 - Moved camp from Flirey to Essey (6 kilometers).

10/31/1918 - Left Essey for Weinville (12 kilometers) [Varneville ?]

11/11/1918 - Martin Flanagan on special duty (with others) at Bernecourt. Returned to regular duty on 13th.

11/16/1918 - Looks like Martin Flanagan something with Varneville D or SD from/to

11/18/1918 - Martin Flanagan (and others) D from SD at Varneville (can't make everything out)

12/20/1918 - Martin Flanagan (and others) on leave at Aix Les Bains (some illegible)

1/4/1919 - Martin Flanagan returned to duty from leave at Aix Les Bains

1/5/1919 - Moved camp from Wainville (Meuse) enroute to Belleville (Bellville) (Meurehe et Moselle?). Stopped at Demevre-en-Haye for night - Left on 6th). Appears 28 kilometers total first stage. Another 20 kilometers 2nd phase.

2/19/1919 - Martin Flanagan duty to sick in hospital

3/1-10/1919 - Hauling from Dieuloward (dievlovord) quarry (while at Belleville (M+M)

3/10/1919 - Martin Flanagan from sick in hospital to duty with company

4/22/1919 - Left Belleville for Sovilly (Meuse). Appears arrived at St. Mihiel (Meuse) (49 kilometers). Left St. Mihiel on 23rd and arrived at Sovilly (Meuse) , which was 28.9 kilometers.

5/8/1919 - Pvt Martin Flanagan promoted to Private 1st Class.

5/15/1919 - Train at Souilly for Le Mans (arrived 17th). Appears to be an embarkation center.

5/1919 (date illegible) - Left Le Mans railroad for Brest

5/31/1919 - Boarded ship Finisterre at Brest

6/1/1919 - Sailed for US

6/10/1919 - Arrived at Hoboken

Certain Officer reports show a timeline of locations that are similar to the Morning Reports and could help identify specific towns if nearby.

McMaster - Officer Report

St. Nazaire
Menil-la-Tour
Gerard-Sas
De l-Estoille Road from Boueq to Mandres
Burly Woods
Rangeval
Flirey
Apremont
Flirey
Essey
Woinville
Apremont-Vogneulles roads
Vegneulles
Road NE of Woel
Woinville

Crotty - Officer Report

Quarries at Royaumieux, Mandres, and Boneq
Camp Burly (in woods near Anserville)
Roads between Broussy and Bouconville

Logbooks (Morning Reports)

Martin Flanagan entries within Wagon Company 1

January 1918 - Assessed to Wagon Co 1
May 1918 - Special duty to construct new camp
May 1918 - Restored from special duty
September 1918 - Special duty with Company C 23rd Engineers
September 1918 - Restored from special duty with Company C
November 1918 - Special duty at Woinville
November 1918 - Restored from special duty at Vernville
November 1918 - Special duty at Bernecourt
November 1918 - Restored from special duty at Bernecourt
December 1918 - On Leave
January 1919 - Returned from Leave
February 1919 - Sick in Hospital
March 1919 - Returned to duty from hospital
May 1919 - Promotion

Complete Logs for Wagon Company 1 - Source: fold3.com

October 1917
November 1917
December 1917
January 1918
February 1918
March 1918
April 1918
May 1918
June 1918
July 1918
August 1918
September 1918
October 1918
November 1918
December 1918
January 1919
February 1919
March 1919
April 1919
May 1919
June 1919

Source
Morning Reports Info

Ship Manifests

Hoboken Embarkation Personnel File

Version I
Version II

Source and Info

Outgoing Ship

Version I
Version II

Incoming Ship

Version I
Version II

Source - In/Out

Analysis of 23rd Engineers in context of Martin Flanagan's ships

Outgoing

Version I - Martin Flanagan #372

HQ - Few pages forward/back of #372

Large Set of LQ Images: 371 down, 372 up

Version I - Martin Flanagan #96

HQ - Few pages forward/back of #96

Incoming

Version I - Martin Flanagan #478:

HQ - Few pages forward/back of #478

Large Set of LQ Images: 478 down, 479 up

Version II - Martin Flanagan #980:

HQ - Few pages forward/back of #980

Large Set of LQ Images: 1 and forward, 980 down, 981 up

Files from the National Archives

Videos

1280 - Occupation of Lucey Sector (Lorraine, 8/10/1918 - 9/11/1918) [Source]

Scenes 13-15: 23rd Engineers directing the 508th Engineers. Appears to start at 3:05.

- - - - -

1327 - The St Mihiel Offensive, 9/10/1918 - 9/25/1918) [Source]

Scene 35: 23rd Engineers tearing down building for material to repair roads. Appears to start at 7:39. Probably includes subsequent scenes, which appear continuous.

- - - - -

1462 - March into Germany (Nov-Dec 1918) [Source]

It appears that this collection includes the scenes from #1280. The video clip itself does not show anything about the 23rd Engineers.

- - - - -

1495: Part I, Part II - - Engineer Corps, Road Building (1918-1919) [Source]

Reel 1:

Scenes #10-16 are mostly 23rd Engineers Company C. It appears Scene #10 starts at 2:38. Scene #17 starts at 4:08.

Reel 2:

Scene #42: 23rd and 111th Engineers with 53rd Pioneers build road. Starts at 2:36.

Scenes #51, 53: 23rd Engineer stone crushers: Starts at 4:25.

Scenes #61-63: Company B 23rd Engineers working on roads. Starts at 6:31.


Note: Film 1495 is wrong about reel numbers. Reel 1 is actually Reel 2. Use above notation for proper links (Reel 1 is Part I).

- - - - -

1497 - Engineer Corps, Standard Gauge Railway Activities (1918) [Source]

Scene #29: 23rd Engineers using steam roller (scene not all 23rd). Appears to start at 9:04.

- - - - -

1498: Part I, Part II - Engineer Corps, Light Railway Activities (1918) [Source]

This film is more difficult to itemize which scenes are the 23rd Engineers. The opening statement appears to suggest that the 23rd Engineers are featured in numerous scenes without explicit reference.

Photos

Gallery

Files

Gallery

Books

History of Engineer Wagon Company 5: 23rd Engineers: Full PDF [Info]

Company A, 23rd Engineers: Full PDF [Info: I, II]

Company C, 23rd Engineers: Full PDF [Info]

Library of Congress

Company A - LOC version
Company C - LOC version
In France with AEF

Source

Genealogical Guide to WWI Battlefields
American Armies and Battlefields in Europe

1938 Edition
1992 Edition
Info

Representative Newspaper Articles about the 23rd Engineers

Gallery

Fold3 Documents

Officer Reports

Brayton
Bruner
Burke
Burns
Butler
Childs
Conghton
Crooks
Crotty
Ellis
Felt
Garforth
Garvey
Gerten
Greene
Gregory
Hackett
Hamer
Hudson
Hvass
Jones
Kerr
Knowles
Lynch
McCormick
McMaster
McRae
Middleton
Miller
Mott
Page
Partridge
Pick
Robinson
Rush
Safford
Seifred
Spencer
Taylor
True
Watson
Wing

Cablegrams

Gallery of all documents

Other Documents

Stars and Stripes - One edition of AEF newspaper
Report - Another unit took over an old 23rd camp
108th Infantry Report - Talks about 23rd Engineers [Info]

Online Information

23rd Engineers

Jefferson Barracks
Camp Meade [Photos from Library of Congress]
Camp Laurel
Camp Mills
Camp Grant (Rockford, IL)
Ship Finisterre
Ship Huron
AEF - Wikipedia
Battle of St. Mihiel - Wikipedia
Meuse Offensive - Wikipedia

WWI Dates
General WWI Photos

Library of Congress

Locations in France - Photos
Locations in France and Hoboken - Photos
Brest - Photos

Coincidental Names

There was another Martin J. Flanagan in WWI from Chicago.

Outgoing Passenger List: Version I, Version II
Incoming

There is a very strange coincidence that in 1946, the newspaper reported that Martin F. Flanagan living at 3079 Lyman had been a prisoner of war. Martin J. Flanagan, subject of this documentary, had been living at 3062 Lyman in the early 1940s.

Southtown Economist - 3/20/1946 [Source]



Compiled by Michael E. Byczek, Illinois Attorney
Great-grandson of Martin J. Flanagan

Original HTML format created in November 2022 for Veteran's Day
Revised in November 2025

Back to Detailed Genealogical Lineage

https://michaelbyczek.pro

Copyright © 2025. Michael E. Byczek. All Rights Reserved.